Alterações climáticas e a sua influência no processo de desertificação dos solos na Europa | João Cação
Alterações climáticas e a sua influência no processo de desertificação dos solos na Europa | João Cação (Mestrado em Geografia Física – Ambiente e Ordenamento do Território – Faculdade de Letras da Universidade de Coimbra)
A desertificação, frequentemente associada a contextos extraeuropeus, tem vindo a afirmar-se como um risco crescente em várias regiões da Europa, sobretudo no Sul e na bacia do Mediterrâneo. O aumento da temperatura média, a alteração dos regimes de precipitação e a intensificação da procura evaporativa da atmosfera estão a alterar o balanço hídrico e a disponibilidade de água no solo, potenciando condições de stress ecológico e de degradação edáfica. Perante este cenário, torna-se fundamental dispor de indicadores robustos e comparáveis que permitam monitorizar a evolução da aridez e o seu papel na suscetibilidade à desertificação.
A minha investigação pretende analisar de que forma as alterações climáticas contribuem para o agravamento do risco de desertificação na Europa, utilizando o Índice de Aridez como métrica central. O Índice de Aridez integra a precipitação e a evapotranspiração potencial, permitindo desta forma caraterizar o balanço entre disponibilidade hídrica e exigência evaporativa atmosférica, um fator determinante na intensificação do stress edáfico e dos processos de degradação do solo em contextos de aumento de intensidade e de frequência de secas.
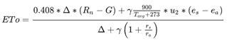
Do ponto de vista metodológico, recorreu-se a diversos dados climáticos de forma a que fosse possível utilizar o método FAO Penman–Monteith e, assim, obter informação sobre solos, uso do solo e indicadores de degradação, tanto para o passado, no período de 1980-2019, como para o futuro através de projeções climáticas, permitindo estimar a evapotranspiração de referência e calcular o Índice de Aridez. O trabalho inclui ainda uma leitura crítica das políticas europeias e instrumentos de planeamento associados ao solo e à desertificação, procurando perceber em que medida incorporam indicadores climáticos na gestão e ordenamento do território.



